题目:Application of the invariant tensor technique on classifiction results
报告人:吴天,中国科学技术大学
时间:10月13日,15:25-16:15
地点:新楼308
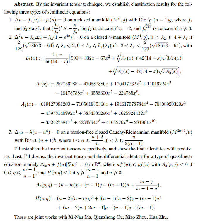
摘要:

时间:2025-10-11
题目:Application of the invariant tensor technique on classifiction results
报告人:吴天,中国科学技术大学
时间:10月13日,15:25-16:15
地点:新楼308
摘要:

地址:安徽省合肥市金寨路 96 号
电话:+86-551-63600515
邮箱:sarahwan@ustc.edu.cn
